34. House Robber III
The thief has found himself a new place for his thievery again. There is only one entrance to this area, called root.
Besides the root, each house has one and only one parent house. After a tour, the smart thief realized that all houses in this place form a binary tree. It will automatically contact the police if two directly-linked houses were broken into on the same night.
Given the root of the binary tree, return the maximum amount of money the thief can rob without alerting the police.
Example 1:

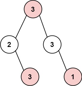
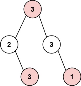
Input: root = [3,2,3,null,3,null,1]
Output: 7
Explanation: Maximum amount of money the thief can rob = 3 + 3 + 1 = 7.Example 2:

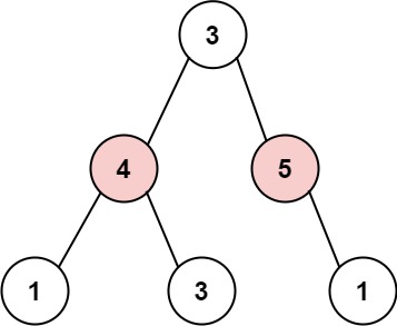
Input: root = [3,4,5,1,3,null,1]
Output: 9
Explanation: Maximum amount of money the thief can rob = 4 + 5 = 9.Solution: (Using Recursion and Map)
Approach: Each node we have two choices -> We can rob the node and its grandchildren -> Or we can exclude the node and rob its children We call both the cases and return the max we achieve As we are computing children again and again we can stored the achieved values in a map
class Solution
{
public:
unordered_map<TreeNode *, int> m;
int rob(TreeNode *root)
{
if (root == NULL)
{
return 0;
}
if (m.find(root) != m.end())
{
return m[root];
}
int val = 0;
if (root->left)
{
val += rob(root->left->left) + rob(root->left->right);
}
if (root->right)
{
val += rob(root->right->left) + rob(root->right->right);
}
int maxVal = max(val + root->val, rob(root->left) + rob(root->right));
m[root] = maxVal;
return maxVal;
}
};Time Complexity: O(n)
Last updated
Was this helpful?