13. Balance a Binary Search Tree
Given a binary search tree, return a balanced binary search tree with the same node values.
A binary search tree is balanced if and only if the depth of the two subtrees of every node never differ by more than 1.
If there is more than one answer, return any of them.
Example 1:


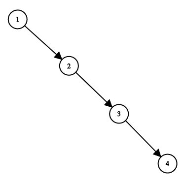
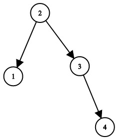
Input: root = [1,null,2,null,3,null,4,null,null]
Output: [2,1,3,null,null,null,4]
Explanation: This is not the only correct answer, [3,1,4,null,2,null,null] is also correct.Solution: (Using Inorder and Recursion)
Approach: Get the sorted array using inorder traversal Use recursion to create a tree: Find mid Left array is the left subtree and right array is right subtree
class Solution
{
public:
    TreeNode *createTree(vector<int> v, int start, int end)
    {
        if (start > end)
        {
            return NULL;
        }
        int mid = (start + end) / 2;
        TreeNode *temp = new TreeNode;
        temp->val = v[mid];
        temp->left = createTree(v, start, mid - 1);
        temp->right = createTree(v, mid + 1, end);
        return temp;
    }
    
    TreeNode *balanceBST(TreeNode *root)
    {
        stack<TreeNode *> s;
        vector<int> v;
        TreeNode *t = root;
        while (!s.empty() || t != NULL)
        {
            if (t != NULL)
            {
                s.push(t);
                t = t->left;
            }
            else
            {
                t = s.top();
                s.pop();
                v.push_back(t->val);
                t = t->right;
            }
        }
        TreeNode *res = createTree(v, 0, v.size() - 1);
        return res;
    }
};Time Complexity: O(n)
Using the same node instead of creating new node. New node creation takes more time
class Solution
{
public:
    TreeNode *createTree(vector<TreeNode *> &v, int start, int end)
    {
        if (start > end)
        {
            return NULL;
        }
        int mid = (start + end) / 2;
        TreeNode *temp = v[mid];
        temp->left = createTree(v, start, mid - 1);
        temp->right = createTree(v, mid + 1, end);
        return temp;
    }
    TreeNode *balanceBST(TreeNode *root)
    {
        stack<TreeNode *> s;
        vector<TreeNode *> v;
        
        TreeNode *t = root;
        while (!s.empty() || t != NULL)
        {
            if (t != NULL)
            {
                s.push(t);
                t = t->left;
            }
            else
            {
                t = s.top();
                s.pop();
                v.push_back(t);
                t = t->right;
            }
        }
        TreeNode *res = createTree(v, 0, v.size() - 1);
        return res;
    }
};Previous12. Binary Search Tree to Greater Sum Tree / Greater TreeNext14. Binary Search Tree Iterator
Last updated
Was this helpful?