3.Symmetric Tree
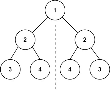
Input: root = [1,2,2,3,4,4,3]
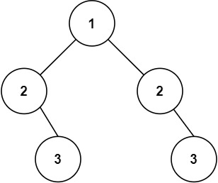
Output: trueInput: root = [1,2,2,null,3,null,3]
Output: falseIterative Solution using Queue
class Solution
{
public:
bool isSymmetric(TreeNode *root)
{
if (root == NULL)
{
return true;
}
if (!root->left && !root->right)
{
return true;
}
else if (!root->left || !root->right)
{
return false;
}
bool res = true;
queue<TreeNode *> q;
q.push(root->left);
q.push(root->right);
while (!q.empty())
{
TreeNode *leftNode = q.front();
q.pop();
TreeNode *rightNode = q.front();
q.pop();
if (leftNode->val != rightNode->val)
{
res = false;
break;
}
if (leftNode->left && rightNode->right)
{
q.push(leftNode->left);
q.push(rightNode->right);
}
else if (leftNode->left || rightNode->right)
{
res = false;
break;
}
if (leftNode->right && rightNode->left)
{
q.push(leftNode->right);
q.push(rightNode->left);
}
else if (leftNode->right || rightNode->left)
{
res = false;
break;
}
}
return res;
}
};Solution: (Recursion)
Last updated

