31. Delete Leaves With a Given Value
Given a binary tree root
and an integer target
, delete all the leaf nodes with value target
.
Note that once you delete a leaf node with value target
, if it's parent node becomes a leaf node and has the value target
, it should also be deleted (you need to continue doing that until you can't).
Example 1:

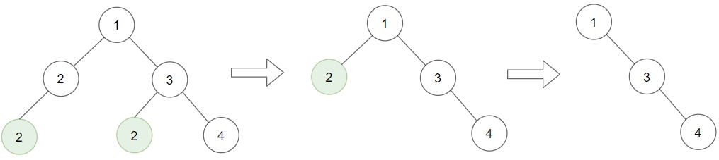
Input: root = [1,2,3,2,null,2,4], target = 2
Output: [1,null,3,null,4]
Explanation: Leaf nodes in green with value (target = 2) are removed (Picture in left).
After removing, new nodes become leaf nodes with value (target = 2) (Picture in center).
Example 2:

Input: root = [1,3,3,3,2], target = 3
Output: [1,3,null,null,2]
Example 3:

Input: root = [1,2,null,2,null,2], target = 2
Output: [1]
Explanation: Leaf nodes in green with value (target = 2) are removed at each step.
Example 4:
Input: root = [1,1,1], target = 1
Output: []
Example 5:
Input: root = [1,2,3], target = 1
Output: [1,2,3]
Solution: (Postorder Traversal)
class Solution
{
public:
void remove(TreeNode *&root, int &target)
{
if (root == NULL)
{
return;
}
remove(root->left, target);
remove(root->right, target);
if (root->left == NULL && root->right == NULL)
{
if (root->val == target)
{
root = NULL;
delete root;
}
return;
}
return;
}
TreeNode *removeLeafNodes(TreeNode *root, int target)
{
remove(root, target);
return root;
}
};
Last updated
Was this helpful?