3.Insert into a Binary Search Tree
Given the root node of a binary search tree (BST) and a value to be inserted into the tree, insert the value into the BST. Return the root node of the BST after the insertion.
You are given the root node of a binary search tree (BST) and a value to insert into the tree. Return the root node of the BST after the insertion. It is guaranteed that the new value does not exist in the original BST.
Notice that there may exist multiple valid ways for the insertion, as long as the tree remains a BST after insertion. You can return any of them.
Example 1:

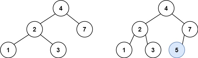
Input: root = [4,2,7,1,3], val = 5
Output: [4,2,7,1,3,5]
Explanation: Another accepted tree is:
Example 2:
Input: root = [40,20,60,10,30,50,70], val = 25
Output: [40,20,60,10,30,50,70,null,null,25]Example 3:
Input: root = [4,2,7,1,3,null,null,null,null,null,null], val = 5
Output: [4,2,7,1,3,5]Approach:
Find the element if it is found then return
Else if the element is not found, find the position where the element should be inserted.
Iterative Solution :
class Solution
{
public:
TreeNode *insertIntoBST(TreeNode *root, int val)
{
if(root == NULL){
TreeNode *temp = new TreeNode;
temp->val = val;
temp->left = NULL;
temp->right = NULL;
root = temp;
return root;
}
TreeNode *p = root;
TreeNode *q = NULL;
while (p != NULL)
{
q = p;
if (p->val == val)
{
return root;
}
else if (p->val > val)
{
p = p->left;
}
else
{
p = p->right;
}
}
TreeNode *temp = new TreeNode;
temp->val = val;
temp->left = NULL;
temp->right = NULL;
if (q->val > val)
{
q->left = temp;
}
else
{
q->right = temp;
}
return root;
}
};
Time complexity: O(log n)
Last updated
Was this helpful?