34. Maximum Width of Binary Tree
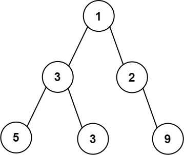
Input: root = [1,3,2,5,3,null,9]
Output: 4
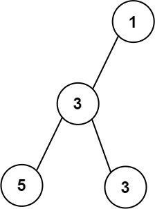
Explanation: The maximum width existing in the third level with the length 4 (5,3,null,9).Input: root = [1,3,null,5,3]
Output: 2
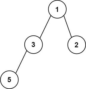
Explanation: The maximum width existing in the third level with the length 2 (5,3).Input: root = [1,3,2,5]
Output: 2
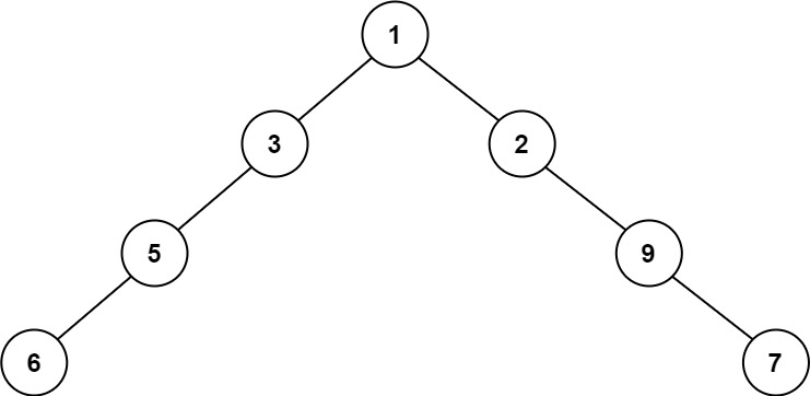
Explanation: The maximum width existing in the second level with the length 2 (3,2).Input: root = [1,3,2,5,null,null,9,6,null,null,7]
Output: 8
Explanation: The maximum width existing in the fourth level with the length 8 (6,null,null,null,null,null,null,7).Solution:
Last updated



