27. Find Duplicate Subtrees
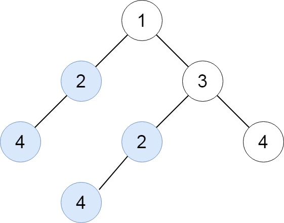
Input: root = [1,2,3,4,null,2,4,null,null,4]
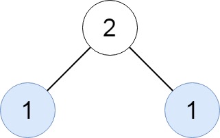
Output: [[2,4],[4]]Input: root = [2,1,1]
Output: [[1]]Input: root = [2,2,2,3,null,3,null]
Output: [[2,3],[3]]Solution: (Use Serialization)
Last updated


